Keplerovy zákony
- KZ. - planety se pohybují po elipsách (perihélium a ajélium)
- KZ. - plocha obsaná průvudičem planety je v průběhu času stejná
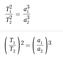
- KZ. - Poměr druhých mocnin oběžných dob dvou planet se rovná poměru třetích mocnin hlávních poloos jejich trajektorii
